BOJ_2565_전깃줄 (Java, C++)
[Gold V] 전깃줄 - 2565
성능 요약
메모리: 2024 KB, 시간: 0 ms
분류
다이나믹 프로그래밍
제출 일자
2025년 1월 15일 15:32:23
문제 설명
두 전봇대 A와 B 사이에 하나 둘씩 전깃줄을 추가하다 보니 전깃줄이 서로 교차하는 경우가 발생하였다. 합선의 위험이 있어 이들 중 몇 개의 전깃줄을 없애 전깃줄이 교차하지 않도록 만들려고 한다.
예를 들어, < 그림 1 >과 같이 전깃줄이 연결되어 있는 경우 A의 1번 위치와 B의 8번 위치를 잇는 전깃줄, A의 3번 위치와 B의 9번 위치를 잇는 전깃줄, A의 4번 위치와 B의 1번 위치를 잇는 전깃줄을 없애면 남아있는 모든 전깃줄이 서로 교차하지 않게 된다.
< 그림 1 >
전깃줄이 전봇대에 연결되는 위치는 전봇대 위에서부터 차례대로 번호가 매겨진다. 전깃줄의 개수와 전깃줄들이 두 전봇대에 연결되는 위치의 번호가 주어질 때, 남아있는 모든 전깃줄이 서로 교차하지 않게 하기 위해 없애야 하는 전깃줄의 최소 개수를 구하는 프로그램을 작성하시오.
입력
첫째 줄에는 두 전봇대 사이의 전깃줄의 개수가 주어진다. 전깃줄의 개수는 100 이하의 자연수이다. 둘째 줄부터 한 줄에 하나씩 전깃줄이 A전봇대와 연결되는 위치의 번호와 B전봇대와 연결되는 위치의 번호가 차례로 주어진다. 위치의 번호는 500 이하의 자연수이고, 같은 위치에 두 개 이상의 전깃줄이 연결될 수 없다.
출력
첫째 줄에 남아있는 모든 전깃줄이 서로 교차하지 않게 하기 위해 없애야 하는 전깃줄의 최소 개수를 출력한다.
문제 풀이
최장 증가 부분 수열(LIS, Longest Increasing Subsequence) 문제로 변환할 수 있다.
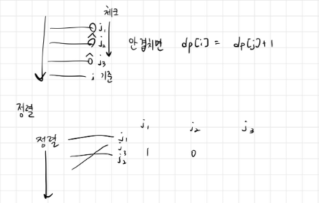
정렬의 의미
A 전봇대를 기준으로 오름차순 정렬하면, B 전봇대의 연결 위치들이 증가하는 순서로 있을 때 전깃줄이 교차하지 않는다.
교차하지 않는 조건
A 전봇대의 위치가 증가할 때 B 전봇대의 위치도 증가해야 전깃줄이 교차하지 않는다. 이는 곧 B 전봇대 위치들의 최장 증가 부분 수열을 찾는 문제가 된다.
답의 도출
LIS 길이 = 교차하지 않고 남길 수 있는 최대 전깃줄 개수 전체 전깃줄 수 - LIS 길이 = 제거해야 할 최소 전깃줄 개수
구현 단계
- A 전봇대 기준으로 전깃줄 정보를 정렬
- DP 배열을 이용해 LIS 계산
- dp[i] = i번째 전깃줄을 마지막으로 하는 LIS의 길이
전체 전깃줄 개수에서 LIS 길이를 뺀 값이 정답
시간 복잡도
- 정렬: O(N log N)
- LIS 계산: O(N²)
- 전체 시간 복잡도: O(N²)
LIS를 사용하는 이유
교차하지 않는 전깃줄들의 집합은 다음 성질을 만족해야함 :
- A 전봇대의 번호가 증가할 때
- B 전봇대의 번호도 증가해야 함
코드
Java 코드
1
2
3
4
5
6
7
8
9
10
11
12
13
14
15
16
17
18
19
20
21
22
23
24
25
26
27
28
29
30
31
32
33
34
35
36
37
38
39
40
41
42
43
44
45
46
/**
* Author: nowalex322, Kim HyeonJae
*/
import java.io.*;
import java.util.*;
public class Main {
static BufferedReader br;
static BufferedWriter bw;
static StringTokenizer st;
public static void main(String[] args) throws Exception {
new Main().solution();
}
public void solution() throws Exception {
// br = new BufferedReader(new InputStreamReader(System.in));
br = new BufferedReader(new InputStreamReader(new FileInputStream("input.txt")));
bw = new BufferedWriter(new OutputStreamWriter(System.out));
int N = Integer.parseInt(br.readLine());
int[][] board = new int[N+1][2];
int[] dp = new int[N+1];
Arrays.fill(dp, 1);
for(int i=1; i<=N; i++) {
st = new StringTokenizer(br.readLine());
board[i][0] = Integer.parseInt(st.nextToken());
board[i][1] = Integer.parseInt(st.nextToken());
}
int res = 1;
Arrays.sort(board, (o1, o2) -> o1[0] - o2[0]);
for(int i=1; i<=N; i++) {
for(int j=1; j<i; j++) {
if(board[i][1] > board[j][1]) dp[i] = Math.max(dp[i], dp[j] + 1);
}
res = Math.max(dp[i], res);
}
bw.write(String.valueOf(N - res));
bw.flush();
bw.close();
br.close();
}
}
C++ 코드
1
2
3
4
5
6
7
8
9
10
11
12
13
14
15
16
17
18
19
20
21
22
23
24
25
26
27
28
29
30
31
32
33
34
35
36
37
38
39
40
41
42
43
44
45
46
47
48
49
50
51
52
53
/**
* Author: nowalex322, Kim HyeonJae
*/
#include <bits/stdc++.h>
using namespace std;
// #define int long long
#define MOD 1000000007
#define INF LLONG_MAX
#define ALL(v) v.begin(), v.end()
#ifdef LOCAL
#include "algo/debug.h"
#else
#define debug(...) 42
#endif
void solve() {
int N;
cin >> N;
vector<pair<int, int>> board(N + 1);
vector<int> dp(N + 1, 1);
for (int i = 1; i <= N; i++) {
cin >> board[i].first >> board[i].second;
}
sort(ALL(board));
int res = 0;
for (int i = 1; i <= N; i++) {
for (int j = 1; j < i; j++) {
if (board[i].second > board[j].second)
dp[i] = max(dp[i], dp[j] + 1);
}
res = max(res, dp[i]);
}
cout << N - res << "\n";
}
int main() {
ios::sync_with_stdio(false);
cin.tie(nullptr);
int tt = 1; // 기본적으로 1번의 테스트 케이스를 처리
// cin >> tt; // 테스트 케이스 수 입력 (필요 시)
while (tt--) {
solve();
}
return 0;
}

