BOJ_15948_간단한 문제 (Java)
BOJ_15948_간단한 문제 (Java)
[Platinum I] 간단한 문제 - 15948
성능 요약
메모리: 14212 KB, 시간: 104 ms
분류
애드 혹, 해 구성하기, 수학
제출 일자
2025년 2월 10일 03:36:23
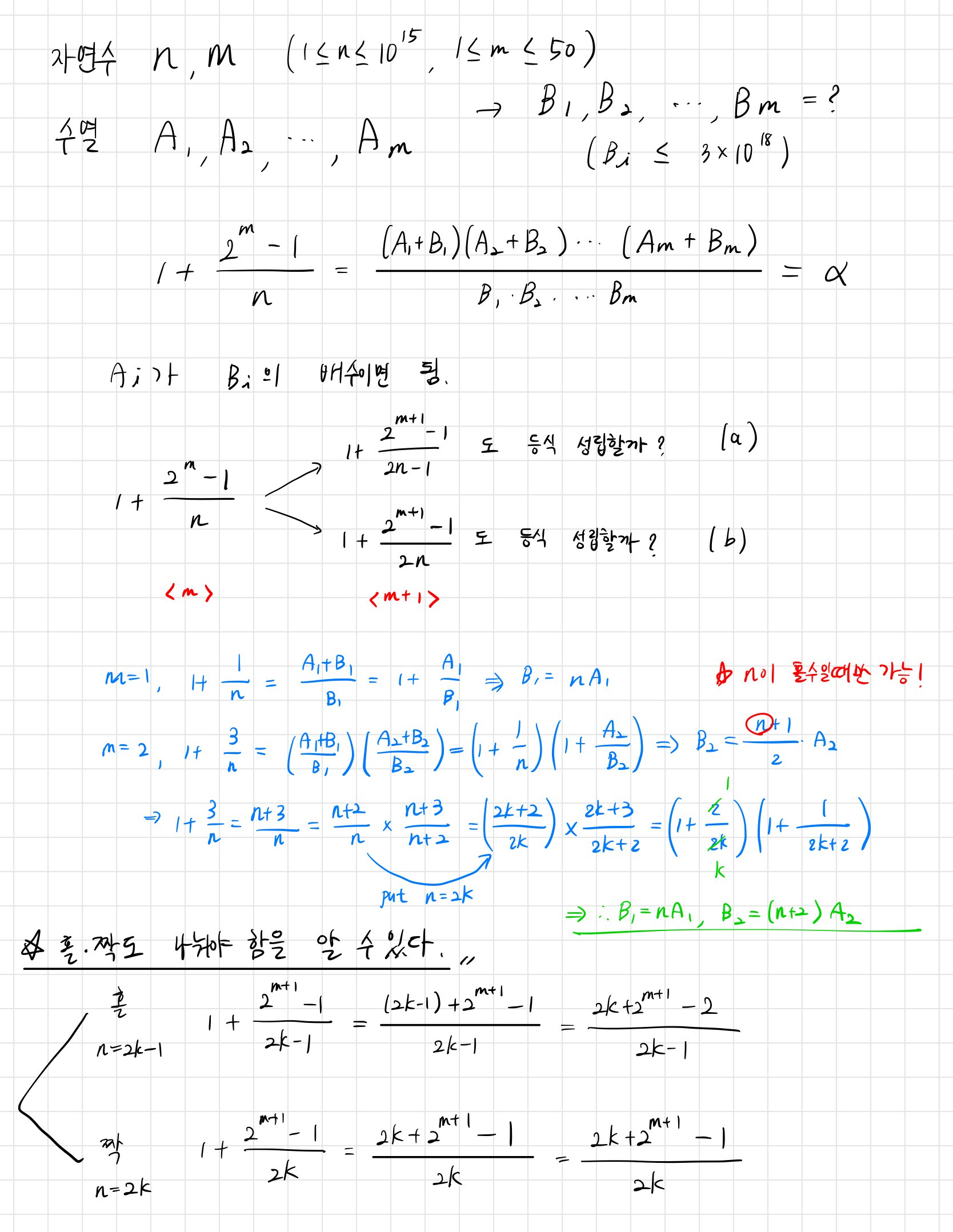
문제 설명
자연수 $n$, $m$과 자연수 수열 $A_1, A_2, \cdots, A_m$이 주어졌을 때, 다음 등식을 만족하는 자연수 수열 $B_1, B_2, \cdots, B_m$을 구하라.
입력
첫 번째 줄에 자연수 $n$과 $m$이 공백으로 구분되어 주어진다. ($1 \le n \le 10^{15}, 1 \le m \le 50$) 두 번째 줄에 수열 $A_1, A_2, \cdots, A_m$을 나타내는 정수 $m$개가 공백으로 구분되어 주어진다. ($1 \le A_i \le 1,000$)
출력
첫 번째 줄에 등식을 만족하는 수열 $B_1, B_2, \cdots, B_m$을 공백으로 구분하여 출력한다. 각 $B_i$는 $1$ 이상 $3\times10^{18}$ 이하여야 한다. 등식을 만족하는 수열이 여러 가지라면 그 중 아무거나 출력해도 된다. 만약 등식을 만족하는 수열이 존재하지 않는다면 첫 번째 줄에 $-1$을 출력한다.
문제 풀이
1. 왜 N이 홀수/짝수일 때 다르게 처리해야 하는가?
-
등식의 왼쪽에 있는 (2^m - 1)/n 항을 정수로 만들어야 하기 때문
- N이 홀수일 때는 현재 값을 바로 계산하고 N+1을 해서 짝수로 만든 후 2로 나눔
- N이 짝수일 때는 바로 2로 나눠서 더 작은 문제로 만듦
2. 왜 idx+M-1 위치에 값을 저장하는가?
- 짝수일 때 나중에 계산되는 값이 더 커져야 하기 때문
- 현재 남은 구간의 마지막 위치(idx+M-1)에 더 큰 값을 저장
3. 왜 (N + (1L « M) - 2) * A[idx + M - 1] 이런 계산을 하는가?
- 등식의 양변을 같게 만들기 위해 필요한 값을 계산해야 하기 때문
- 2의 M승을 사용하여 적절한 크기의 값을 만듦
4. 왜 M이 1일 때 따로 처리하는가?
- 마지막 하나 남은 값은 이전에 계산된 모든 값들과의 관계를 고려해야 하기 때문
- N*A[idx]로 간단히 계산하여 등식을 만족시킴
5. 왜 originalM을 따로 저장해야 하는가?
- M 값이 계속 감소하지만 최종 출력할 때는 원래 배열 크기가 필요하기 때문
- 처음 M 값을 originalM에 저장하여 출력에 사용
코드
코드 1
1
2
3
4
5
6
7
8
9
10
11
12
13
14
15
16
17
18
19
20
21
22
23
24
25
26
27
28
29
30
31
32
33
34
35
36
37
38
39
40
41
42
43
44
45
46
47
48
49
50
51
52
53
54
55
56
57
58
59
60
61
62
63
64
65
66
67
68
69
70
/**
* Author: nowalex322, Kim HyeonJae
*/
import java.io.*;
import java.util.*;
public class Main {
static BufferedReader br;
static BufferedWriter bw;
static StringTokenizer st;
static StringBuilder sb = new StringBuilder();
static long N;
static int M, originalM;
static long[] A, B;
public static void main(String[] args) throws Exception {
new Main().solution();
}
public void solution() throws Exception {
br = new BufferedReader(new InputStreamReader(System.in));
// br = new BufferedReader(new InputStreamReader(new FileInputStream("src/main/java/BOJ_15948_간단한문제/input.txt")));
bw = new BufferedWriter(new OutputStreamWriter(System.out));
st = new StringTokenizer(br.readLine());
N = Long.parseLong(st.nextToken());
M = Integer.parseInt(st.nextToken());
originalM = M;
A = new long[M];
B = new long[M];
st = new StringTokenizer(br.readLine());
for (int i = 0; i < M; i++) {
A[i] = Long.parseLong(st.nextToken());
}
// B 배열 계산
int idx = 0; // B배열의 현재 위치
while(M > 0) {
if(M == 1) {
// 마지막 원소 처리
B[idx] = N * A[idx];
break;
}
if(N % 2 == 1) { // N 홀수
B[idx] = N * A[idx];
N = (N + 1) / 2;
idx++;
} else { // N 짝수
// 마지막 원소는 따로 계산
B[idx + M - 1] = (N + (1L << M) - 2) * A[idx + M - 1];
N /= 2;
}
M--;
}
// 원래 길이(originalM)
for(int i = 0; i < originalM; i++) {
sb.append(B[i]);
if(i < originalM-1) sb.append(" ");
}
sb.append('\n');
System.out.println(sb);
bw.flush();
bw.close();
br.close();
}
}
코드 2 (재귀)
1
2
3
4
5
6
7
8
9
10
11
12
13
14
15
16
17
18
19
20
21
22
23
24
25
26
27
28
29
30
31
32
33
34
35
36
37
38
39
40
41
42
43
44
45
46
47
48
49
50
51
52
53
54
55
56
57
58
59
60
61
62
63
64
65
66
/**
* Author: nowalex322, Kim HyeonJae
*/
import java.io.*;
import java.util.*;
public class Main {
static BufferedReader br;
static BufferedWriter bw;
static StringTokenizer st;
static StringBuilder sb = new StringBuilder();
static long N;
static int M;
static long[] A, B;
public static void main(String[] args) throws Exception {
new Main().solution();
}
public void solution() throws Exception {
br = new BufferedReader(new InputStreamReader(System.in));
// br = new BufferedReader(new InputStreamReader(new FileInputStream("src/main/java/BOJ_15948_간단한문제/input.txt")));
bw = new BufferedWriter(new OutputStreamWriter(System.out));
st = new StringTokenizer(br.readLine());
N = Long.parseLong(st.nextToken());
M = Integer.parseInt(st.nextToken());
A = new long[M];
B = new long[M];
st = new StringTokenizer(br.readLine());
for (int i = 0; i < M; i++) {
A[i] = Long.parseLong(st.nextToken());
}
solve(N, M, 0);
for(int i=0; i<M; i++) {
sb.append(String.valueOf(B[i]));
if(i < M-1) sb.append(" ");
}
sb.append('\n');
System.out.println(sb);
bw.flush();
bw.close();
br.close();
}
private static void solve(long n, int m, int k){
if(m == 1){
B[k] = n * A[k];
return;
}
if(n%2 == 1){
B[k] = n * A[k];
solve((n+1)/2, m-1, k+1);
return;
}
else{
solve(n/2, m-1, k);
B[k+m-1] = (n + (1L<<m) - 2) * A[k+m-1];
}
}
}
This post is licensed under
CC BY 4.0
by the author.



